Danh sách 342 ô tô, xe máy bị phạt nguội qua camera AI của Công an Hà Nội
Ngày 6/1, Phòng CSGT Công an TP Hà Nội công bố danh sách 342 ô tô, xe máy bị camera AI phát hiện vi phạm trong thời gian qua.
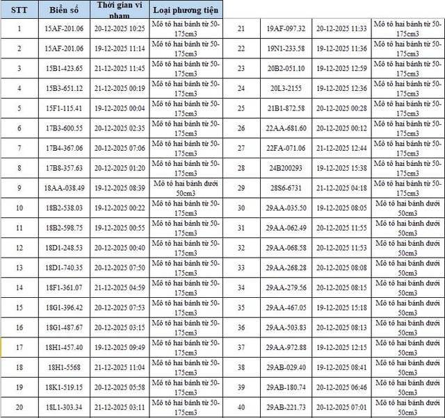
Thời gian qua, hệ thống Camera AI đã phát hiện, ghi hình 342 phương tiện, bao gồm 82 xe ô tô, 260 xe máy vi phạm TTATGT. Phòng CSGT đã gửi thông báo đến các chủ phương tiện.
Theo đó, chủ phương tiện, người điều khiển phương tiện có thể tra cứu thông tin "phạt nguội" trên ứng dụng VNeTraffic hoặc trang thông tin điện tử của Cục CSGT - Bộ Công an tại địa chỉ www.csgt.vn, hoặc liên hệ trực tiếp Đội Chỉ huy giao thông và điều khiển đèn tín hiệu giao thông (Phòng CSGT - CATP Hà Nội) tại số 54 Trần Hưng Đạo, phường Cửa Nam, TP Hà Nội, điện thoại: 0692.196.440 để được hướng dẫn, giải quyết.
Danh sách ô tô vi phạm:


Danh sách xe máy vi phạm:






Đối với người dân cư trú trên địa bàn Hà Nội có thể đến 14 địa điểm tiếp nhận, giải quyết kết quả thu thập được bằng phương tiện, thiết bị nghiệp vụ (phạt nguội) của Phòng CSGT để giải quyết vụ việc vi phạm hành chính.
