Hà Nội công bố danh sách phương tiện vi phạm giao thông được phát hiện qua camera AI
Hà Nội sử dụng Camera AI phát hiện và xử lý hàng trăm ô tô, mô tô vi phạm giao thông; 545 thông báo đã được gửi tới chủ phương tiện.
Ngày 13/12/2025, Công an thành phố Hà Nội chính thức đưa Trung tâm điều khiển giao thông vào hoạt động, triển khai xử lý vi phạm hành chính qua hệ thống Camera AI. Sau thời gian vận hành, hệ thống đã phát hiện, ghi hình hàng trăm trường hợp vi phạm, bao gồm cả ô tô và mô tô. Phòng Cảnh sát giao thông đã gửi 545 thông báo đến chủ phương tiện vi phạm.
Chủ phương tiện có thể tra cứu thông tin "phạt nguội" trên ứng dụng VNeTraffic hoặc trang www.csgt.vn hoặc liên hệ trực tiếp Phòng CSGT Hà Nội tại số 54 Trần Hưng Đạo, phường Cửa Nam, điện thoại 0692.196.440 để được hướng dẫn. Người dân Hà Nội cũng có thể đến 14 điểm tiếp nhận của Phòng Cảnh sát giao thông để giải quyết các vụ việc vi phạm hành chính.
Khuyến cáo người dân tuân thủ nghiêm các quy định giao thông, kiểm tra thông tin vi phạm kịp thời để tránh phát sinh xử phạt và đảm bảo an toàn cho bản thân cũng như cộng đồng.
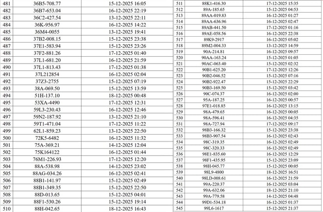
Danh sách các phương tiện vi phạm (đợt 1):









Hệ thống Camera AI ghi hình hàng trăm ô tô và mô tô vi phạm; Phòng CSGT đã gửi 545 thông báo tới chủ phương tiện.
Hà Nội mới đây đã đưa vào triển khai hệ thống Camera AI trong quản lý giao thông, tập trung tại các nút giao thông trọng điểm và trên các tuyến đường chính. Hệ thống này không chỉ ghi hình mà còn tự động nhận diện các hành vi vi phạm như vượt đèn đỏ, chạy quá tốc độ, đi vào làn đường cấm. Khi phát hiện vi phạm, Camera AI ghi lại bằng chứng hình ảnh và chuyển thông tin về Trung tâm điều khiển giao thông để xử lý "phạt nguội".
Việc áp dụng Camera AI giúp nâng cao hiệu quả giám sát, giảm nguy cơ tai nạn, đồng thời hỗ trợ lực lượng Cảnh sát giao thông làm việc chính xác và minh bạch hơn, hạn chế việc phải tuần tra liên tục trên đường. Đây được xem là bước tiến quan trọng trong hiện đại hóa công tác quản lý trật tự, an toàn giao thông tại Hà Nội.
